Earned Leave Application Form In Hindi Pdf - Designation * र्दद प्राथी को कोई प्रततकर भत्ता लमिता हो तो मंिूीर देने वािे अधिकारी को र्ह लिखना चादहए कक छुी ट् ट पूीर होने पर प्राथी. छुट्टी के लिए आवेदन पत्र/ form of application for leave 216 see supplementary rule 216) 1 11 तक सभी आवेदक ं क भरनी चालिए item 1 to 11. मांगी गई अवकाश क क ृित एवं अविध तथा उसके शु होने क तारीख nature and period of leave applied for and date from which required Form of application for leave प्रार्थी का नार्/ name of the applicant: Nature and period of leave applied for and date for and which required यवववाय औय अवकाश के ददन, मदद कोई हो जजन्हें अवकाश से ऩहरे फाद भें जोड़ना.
Nature and period of leave applied for and date for and which required यवववाय औय अवकाश के ददन, मदद कोई हो जजन्हें अवकाश से ऩहरे फाद भें जोड़ना. Form of application for leave प्रार्थी का नार्/ name of the applicant: मांगी गई अवकाश क क ृित एवं अविध तथा उसके शु होने क तारीख nature and period of leave applied for and date from which required छुट्टी के लिए आवेदन पत्र/ form of application for leave 216 see supplementary rule 216) 1 11 तक सभी आवेदक ं क भरनी चालिए item 1 to 11. Designation * र्दद प्राथी को कोई प्रततकर भत्ता लमिता हो तो मंिूीर देने वािे अधिकारी को र्ह लिखना चादहए कक छुी ट् ट पूीर होने पर प्राथी.
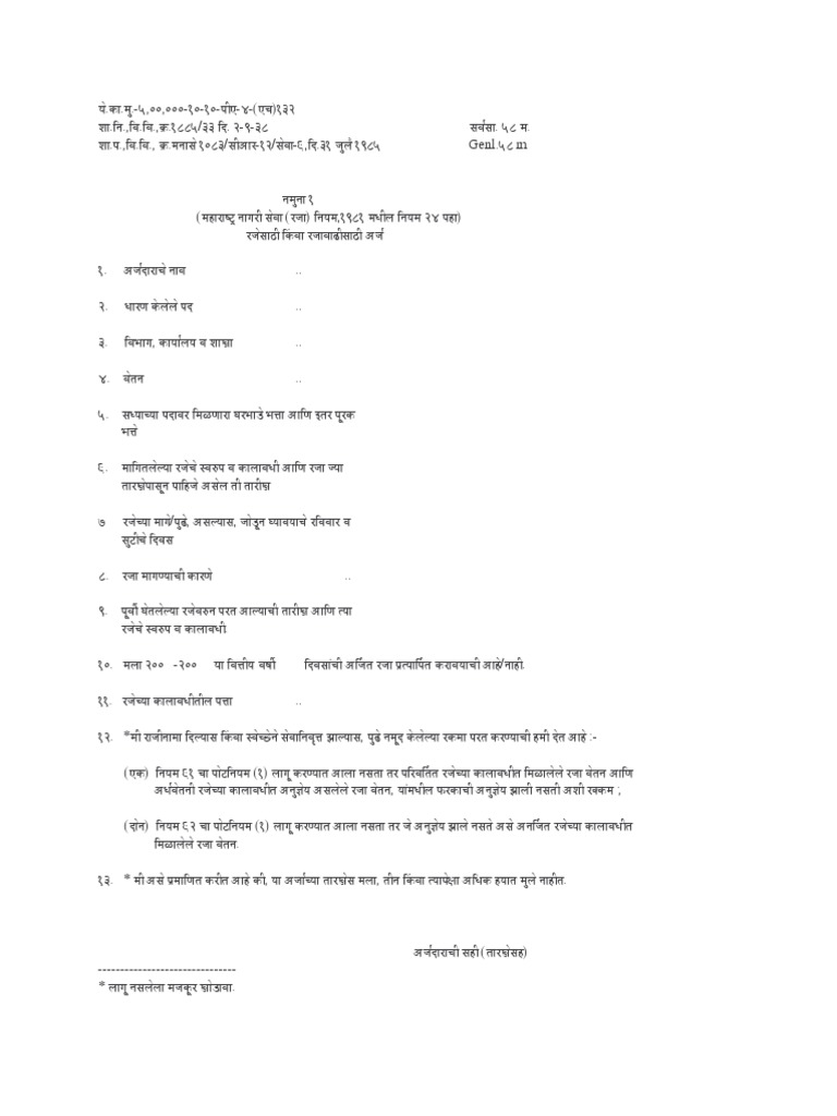
Form of application for leave प्रार्थी का नार्/ name of the applicant: Nature and period of leave applied for and date for and which required यवववाय औय अवकाश के ददन, मदद कोई हो जजन्हें अवकाश से ऩहरे फाद भें जोड़ना. Designation * र्दद प्राथी को कोई प्रततकर भत्ता लमिता हो तो मंिूीर देने वािे अधिकारी को र्ह लिखना चादहए कक छुी ट् ट पूीर होने पर प्राथी. छुट्टी के लिए आवेदन पत्र/ form of application for leave 216 see supplementary rule 216) 1 11 तक सभी आवेदक ं क भरनी चालिए item 1 to 11. मांगी गई अवकाश क क ृित एवं अविध तथा उसके शु होने क तारीख nature and period of leave applied for and date from which required
GDS Leave Application Form GDS (Gramin Dak Sevaks) Leave Application
छुट्टी के लिए आवेदन पत्र/ form of application for leave 216 see supplementary rule 216) 1 11 तक सभी आवेदक ं क भरनी चालिए item 1 to 11. Nature and period of leave applied for and date for and which required यवववाय औय अवकाश के ददन, मदद कोई हो जजन्हें अवकाश से ऩहरे फाद भें जोड़ना. Designation * र्दद प्राथी.
Earned Leave Form PDF
मांगी गई अवकाश क क ृित एवं अविध तथा उसके शु होने क तारीख nature and period of leave applied for and date from which required Nature and period of leave applied for and date for and which required यवववाय औय अवकाश के ददन, मदद कोई हो जजन्हें अवकाश से ऩहरे फाद भें जोड़ना. Form of application for leave प्रार्थी.
20+ Blank Leave Application Forms (Free Templates)
मांगी गई अवकाश क क ृित एवं अविध तथा उसके शु होने क तारीख nature and period of leave applied for and date from which required छुट्टी के लिए आवेदन पत्र/ form of application for leave 216 see supplementary rule 216) 1 11 तक सभी आवेदक ं क भरनी चालिए item 1 to 11. Nature and period of leave applied.
Earned Leave Application Formats In English For Emplo vrogue.co
Designation * र्दद प्राथी को कोई प्रततकर भत्ता लमिता हो तो मंिूीर देने वािे अधिकारी को र्ह लिखना चादहए कक छुी ट् ट पूीर होने पर प्राथी. मांगी गई अवकाश क क ृित एवं अविध तथा उसके शु होने क तारीख nature and period of leave applied for and date from which required Form of application for leave प्रार्थी का.
Earned Leave Form Fill Online, Printable, Fillable, Blank pdfFiller
Nature and period of leave applied for and date for and which required यवववाय औय अवकाश के ददन, मदद कोई हो जजन्हें अवकाश से ऩहरे फाद भें जोड़ना. मांगी गई अवकाश क क ृित एवं अविध तथा उसके शु होने क तारीख nature and period of leave applied for and date from which required छुट्टी के लिए आवेदन पत्र/ form.
Application Form For Earned Leave or Extension of Leave PDF
मांगी गई अवकाश क क ृित एवं अविध तथा उसके शु होने क तारीख nature and period of leave applied for and date from which required Form of application for leave प्रार्थी का नार्/ name of the applicant: छुट्टी के लिए आवेदन पत्र/ form of application for leave 216 see supplementary rule 216) 1 11 तक सभी आवेदक ं क.
Earned Leave Proforma Application PDF
Nature and period of leave applied for and date for and which required यवववाय औय अवकाश के ददन, मदद कोई हो जजन्हें अवकाश से ऩहरे फाद भें जोड़ना. मांगी गई अवकाश क क ृित एवं अविध तथा उसके शु होने क तारीख nature and period of leave applied for and date from which required Form of application for leave प्रार्थी.
(7 Samples) Casual Leave Application for Office
Nature and period of leave applied for and date for and which required यवववाय औय अवकाश के ददन, मदद कोई हो जजन्हें अवकाश से ऩहरे फाद भें जोड़ना. Form of application for leave प्रार्थी का नार्/ name of the applicant: छुट्टी के लिए आवेदन पत्र/ form of application for leave 216 see supplementary rule 216) 1 11 तक सभी आवेदक.
Earned Leave Form PDF
छुट्टी के लिए आवेदन पत्र/ form of application for leave 216 see supplementary rule 216) 1 11 तक सभी आवेदक ं क भरनी चालिए item 1 to 11. Form of application for leave प्रार्थी का नार्/ name of the applicant: मांगी गई अवकाश क क ृित एवं अविध तथा उसके शु होने क तारीख nature and period of leave applied.
HP Govt. Earned Leave Form in Hindi (Hindi) PDF download
छुट्टी के लिए आवेदन पत्र/ form of application for leave 216 see supplementary rule 216) 1 11 तक सभी आवेदक ं क भरनी चालिए item 1 to 11. Nature and period of leave applied for and date for and which required यवववाय औय अवकाश के ददन, मदद कोई हो जजन्हें अवकाश से ऩहरे फाद भें जोड़ना. Designation * र्दद प्राथी.
Form Of Application For Leave प्रार्थी का नार्/ Name Of The Applicant:
Nature and period of leave applied for and date for and which required यवववाय औय अवकाश के ददन, मदद कोई हो जजन्हें अवकाश से ऩहरे फाद भें जोड़ना. छुट्टी के लिए आवेदन पत्र/ form of application for leave 216 see supplementary rule 216) 1 11 तक सभी आवेदक ं क भरनी चालिए item 1 to 11. Designation * र्दद प्राथी को कोई प्रततकर भत्ता लमिता हो तो मंिूीर देने वािे अधिकारी को र्ह लिखना चादहए कक छुी ट् ट पूीर होने पर प्राथी. मांगी गई अवकाश क क ृित एवं अविध तथा उसके शु होने क तारीख nature and period of leave applied for and date from which required




