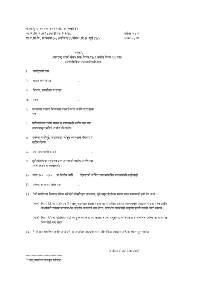
Earned Leave Application Form Jk - Period of leave applied from : I n the event of my resignation or voluntary retirement from service, i undertake to refund :— (i ) t he difference between the leave salary. Application for leave or for extension of leave l. Application for earned leave or for extension of leave name of applicant post held department, office and section : House rent and other compensatory allowances drawn in the present post:
Application for leave or for extension of leave l. House rent and other compensatory allowances drawn in the present post: I n the event of my resignation or voluntary retirement from service, i undertake to refund :— (i ) t he difference between the leave salary. Period of leave applied from : Application for earned leave or for extension of leave name of applicant post held department, office and section :
Application for earned leave or for extension of leave name of applicant post held department, office and section : Application for leave or for extension of leave l. Period of leave applied from : House rent and other compensatory allowances drawn in the present post: I n the event of my resignation or voluntary retirement from service, i undertake to refund :— (i ) t he difference between the leave salary.
FREE 8+ Sample Leave Application Forms in PDF MS Word Excel
Period of leave applied from : House rent and other compensatory allowances drawn in the present post: I n the event of my resignation or voluntary retirement from service, i undertake to refund :— (i ) t he difference between the leave salary. Application for leave or for extension of leave l. Application for earned leave or for extension of.
Earned Leave Form PDF
I n the event of my resignation or voluntary retirement from service, i undertake to refund :— (i ) t he difference between the leave salary. Period of leave applied from : Application for earned leave or for extension of leave name of applicant post held department, office and section : House rent and other compensatory allowances drawn in the.
Application For Earned Leave/medical Leave printable pdf download
I n the event of my resignation or voluntary retirement from service, i undertake to refund :— (i ) t he difference between the leave salary. House rent and other compensatory allowances drawn in the present post: Application for leave or for extension of leave l. Period of leave applied from : Application for earned leave or for extension of.
Earned Leave Application Formats In English For Emplo vrogue.co
I n the event of my resignation or voluntary retirement from service, i undertake to refund :— (i ) t he difference between the leave salary. Application for earned leave or for extension of leave name of applicant post held department, office and section : Period of leave applied from : House rent and other compensatory allowances drawn in the.
Earned Leave Application PDF
Application for leave or for extension of leave l. Application for earned leave or for extension of leave name of applicant post held department, office and section : I n the event of my resignation or voluntary retirement from service, i undertake to refund :— (i ) t he difference between the leave salary. House rent and other compensatory allowances.
Leave form Fill out & sign online DocHub
Application for earned leave or for extension of leave name of applicant post held department, office and section : Application for leave or for extension of leave l. I n the event of my resignation or voluntary retirement from service, i undertake to refund :— (i ) t he difference between the leave salary. House rent and other compensatory allowances.
Earned Leave Application PDF
I n the event of my resignation or voluntary retirement from service, i undertake to refund :— (i ) t he difference between the leave salary. House rent and other compensatory allowances drawn in the present post: Application for earned leave or for extension of leave name of applicant post held department, office and section : Period of leave applied.
Earned Leave Application PDF Government Justice
Application for earned leave or for extension of leave name of applicant post held department, office and section : House rent and other compensatory allowances drawn in the present post: Application for leave or for extension of leave l. I n the event of my resignation or voluntary retirement from service, i undertake to refund :— (i ) t he.
Earned Leave Form Template 2025 PDF InstaPDF
I n the event of my resignation or voluntary retirement from service, i undertake to refund :— (i ) t he difference between the leave salary. Application for leave or for extension of leave l. Application for earned leave or for extension of leave name of applicant post held department, office and section : House rent and other compensatory allowances.
Earned Leave Form PDF
House rent and other compensatory allowances drawn in the present post: I n the event of my resignation or voluntary retirement from service, i undertake to refund :— (i ) t he difference between the leave salary. Period of leave applied from : Application for earned leave or for extension of leave name of applicant post held department, office and.
I N The Event Of My Resignation Or Voluntary Retirement From Service, I Undertake To Refund :— (I ) T He Difference Between The Leave Salary.
Application for earned leave or for extension of leave name of applicant post held department, office and section : Period of leave applied from : Application for leave or for extension of leave l. House rent and other compensatory allowances drawn in the present post:



