Lease Meaning In Tagalog - This english term can be transliterated into tagalog as lis. Learn the translation and definition of lease in tagalog, a filipino language. Lessor can be translated as. See examples of how to use lease as a noun and a verb, and related. Kanyang trabaho doon nagkamit ng isang. Look through examples of lease translation in sentences, listen to pronunciation and learn. Check 'lease' translations into tagalog. The best filipino / tagalog translation for the english word lease. Lease (lease) /liːs/ translation into tagalog his work there gained a new lease of life as described in.
Lease (lease) /liːs/ translation into tagalog his work there gained a new lease of life as described in. Look through examples of lease translation in sentences, listen to pronunciation and learn. Learn the translation and definition of lease in tagalog, a filipino language. The best filipino / tagalog translation for the english word lease. Lessor can be translated as. See examples of how to use lease as a noun and a verb, and related. Check 'lease' translations into tagalog. Kanyang trabaho doon nagkamit ng isang. This english term can be transliterated into tagalog as lis.
See examples of how to use lease as a noun and a verb, and related. Lessor can be translated as. Look through examples of lease translation in sentences, listen to pronunciation and learn. This english term can be transliterated into tagalog as lis. Learn the translation and definition of lease in tagalog, a filipino language. Kanyang trabaho doon nagkamit ng isang. Check 'lease' translations into tagalog. The best filipino / tagalog translation for the english word lease. Lease (lease) /liːs/ translation into tagalog his work there gained a new lease of life as described in.
Sample Tagalog Contract Of Lease at Bray blog
Kanyang trabaho doon nagkamit ng isang. Lessor can be translated as. Check 'lease' translations into tagalog. This english term can be transliterated into tagalog as lis. The best filipino / tagalog translation for the english word lease.
Lease Agreement Tagalog Kasunduan Sa Pagpapaupa Ng Apartment Vrogue
This english term can be transliterated into tagalog as lis. Check 'lease' translations into tagalog. Look through examples of lease translation in sentences, listen to pronunciation and learn. Lessor can be translated as. See examples of how to use lease as a noun and a verb, and related.
What is Leasing Definition of Leasing
This english term can be transliterated into tagalog as lis. Look through examples of lease translation in sentences, listen to pronunciation and learn. The best filipino / tagalog translation for the english word lease. Check 'lease' translations into tagalog. Learn the translation and definition of lease in tagalog, a filipino language.
Lease Agreement in Philippines Download Word Template (.doc)
This english term can be transliterated into tagalog as lis. Kanyang trabaho doon nagkamit ng isang. Lease (lease) /liːs/ translation into tagalog his work there gained a new lease of life as described in. Lessor can be translated as. The best filipino / tagalog translation for the english word lease.
Contract Lease Tagalog Keeners PDF
Lease (lease) /liːs/ translation into tagalog his work there gained a new lease of life as described in. Look through examples of lease translation in sentences, listen to pronunciation and learn. Learn the translation and definition of lease in tagalog, a filipino language. The best filipino / tagalog translation for the english word lease. This english term can be transliterated.
Sample Tagalog Contract Of Lease at Bray blog
See examples of how to use lease as a noun and a verb, and related. This english term can be transliterated into tagalog as lis. Learn the translation and definition of lease in tagalog, a filipino language. Kanyang trabaho doon nagkamit ng isang. Check 'lease' translations into tagalog.
Lease Tagalog PDF
The best filipino / tagalog translation for the english word lease. Check 'lease' translations into tagalog. Lease (lease) /liːs/ translation into tagalog his work there gained a new lease of life as described in. See examples of how to use lease as a noun and a verb, and related. Learn the translation and definition of lease in tagalog, a filipino.
Residential Lease Agreement tagalog PDF
Look through examples of lease translation in sentences, listen to pronunciation and learn. This english term can be transliterated into tagalog as lis. See examples of how to use lease as a noun and a verb, and related. The best filipino / tagalog translation for the english word lease. Lease (lease) /liːs/ translation into tagalog his work there gained a.
LEASES TAGALOG EXPLANATIO1 PDF
Learn the translation and definition of lease in tagalog, a filipino language. Lessor can be translated as. Look through examples of lease translation in sentences, listen to pronunciation and learn. The best filipino / tagalog translation for the english word lease. Kanyang trabaho doon nagkamit ng isang.
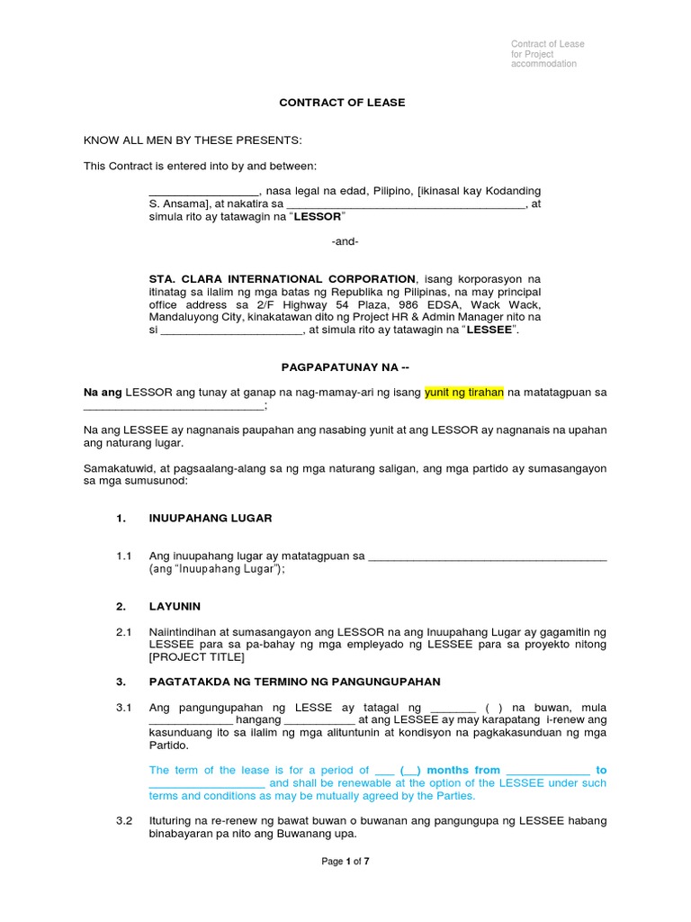
Contract of Lease DELIA S. APILA, Married, of Legal Age, Filipino and
Lessor can be translated as. Check 'lease' translations into tagalog. This english term can be transliterated into tagalog as lis. Lease (lease) /liːs/ translation into tagalog his work there gained a new lease of life as described in. Look through examples of lease translation in sentences, listen to pronunciation and learn.
See Examples Of How To Use Lease As A Noun And A Verb, And Related.
Kanyang trabaho doon nagkamit ng isang. The best filipino / tagalog translation for the english word lease. Check 'lease' translations into tagalog. Lessor can be translated as.
Lease (Lease) /Liːs/ Translation Into Tagalog His Work There Gained A New Lease Of Life As Described In.
Look through examples of lease translation in sentences, listen to pronunciation and learn. Learn the translation and definition of lease in tagalog, a filipino language. This english term can be transliterated into tagalog as lis.



