Method Section Of A Lab Report - In a lab report, however, the materials and methods are. This handout will use a lab exercise on seed germination as an example of how to write a methods section. Here's a short section of the materials and methods section from the bone fracture article. An experimental design is divided into two parts known as materials and methods. In each section of this.
Here's a short section of the materials and methods section from the bone fracture article. In each section of this. This handout will use a lab exercise on seed germination as an example of how to write a methods section. An experimental design is divided into two parts known as materials and methods. In a lab report, however, the materials and methods are.
An experimental design is divided into two parts known as materials and methods. Here's a short section of the materials and methods section from the bone fracture article. In a lab report, however, the materials and methods are. In each section of this. This handout will use a lab exercise on seed germination as an example of how to write a methods section.
How To Write A Lab Report Sample at Tara Ison blog
Here's a short section of the materials and methods section from the bone fracture article. In a lab report, however, the materials and methods are. An experimental design is divided into two parts known as materials and methods. In each section of this. This handout will use a lab exercise on seed germination as an example of how to write.
Apa Lab Report EdrawMax Template
Here's a short section of the materials and methods section from the bone fracture article. An experimental design is divided into two parts known as materials and methods. This handout will use a lab exercise on seed germination as an example of how to write a methods section. In a lab report, however, the materials and methods are. In each.
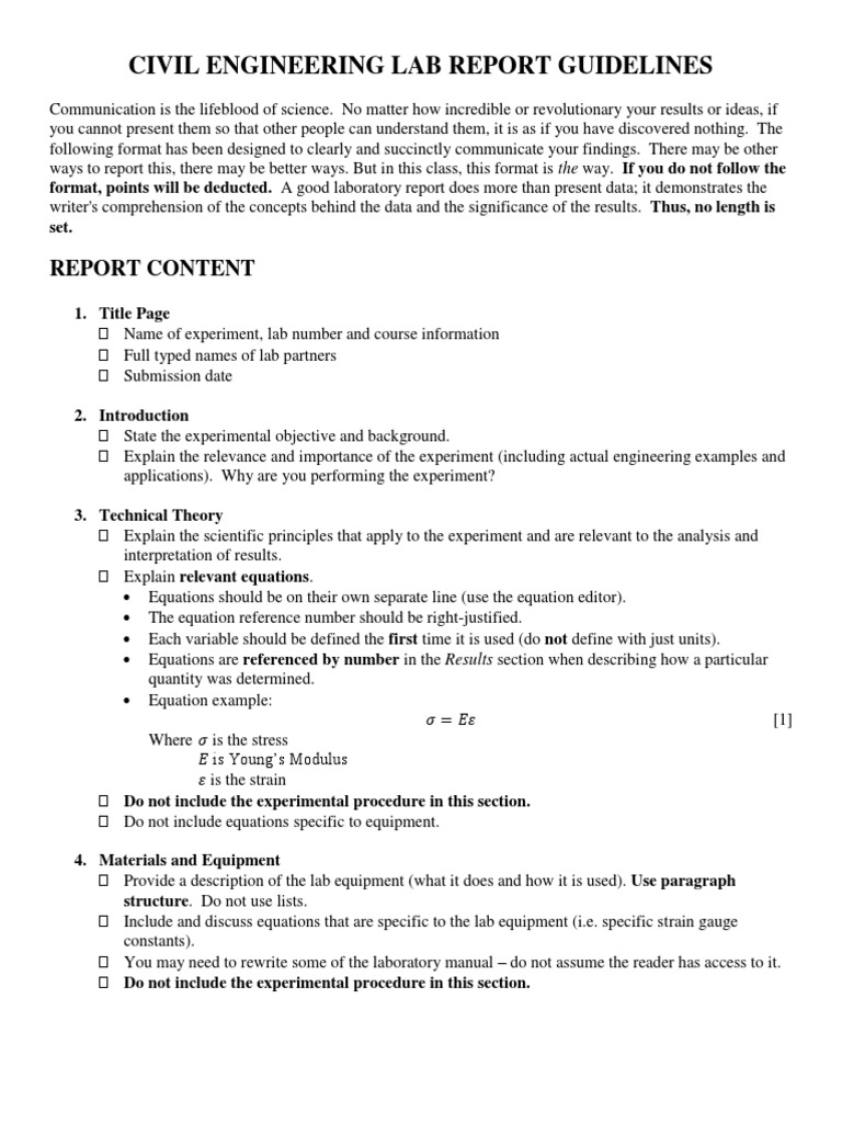
Civil Engineering Lab Report Format Final PDF PDF Experiment
This handout will use a lab exercise on seed germination as an example of how to write a methods section. In a lab report, however, the materials and methods are. In each section of this. An experimental design is divided into two parts known as materials and methods. Here's a short section of the materials and methods section from the.
40 Useful Lab Report Examples (& Free Templates)
This handout will use a lab exercise on seed germination as an example of how to write a methods section. An experimental design is divided into two parts known as materials and methods. In a lab report, however, the materials and methods are. In each section of this. Here's a short section of the materials and methods section from the.
Material and method Lab report II. Materials and methods Prepare a
In a lab report, however, the materials and methods are. In each section of this. An experimental design is divided into two parts known as materials and methods. Here's a short section of the materials and methods section from the bone fracture article. This handout will use a lab exercise on seed germination as an example of how to write.
how to write a lab report college
In a lab report, however, the materials and methods are. In each section of this. This handout will use a lab exercise on seed germination as an example of how to write a methods section. An experimental design is divided into two parts known as materials and methods. Here's a short section of the materials and methods section from the.
34+ Lab Report Templates PDF, Google Docs, Word, Apple Pages
An experimental design is divided into two parts known as materials and methods. This handout will use a lab exercise on seed germination as an example of how to write a methods section. Here's a short section of the materials and methods section from the bone fracture article. In a lab report, however, the materials and methods are. In each.
How to Write a Lab Report Writing Steps, Format & Examples
In a lab report, however, the materials and methods are. An experimental design is divided into two parts known as materials and methods. Here's a short section of the materials and methods section from the bone fracture article. This handout will use a lab exercise on seed germination as an example of how to write a methods section. In each.
Materials and Methods Fall2022 Writing the Materials and
In each section of this. Here's a short section of the materials and methods section from the bone fracture article. In a lab report, however, the materials and methods are. This handout will use a lab exercise on seed germination as an example of how to write a methods section. An experimental design is divided into two parts known as.
Lab Report Worksheets
An experimental design is divided into two parts known as materials and methods. In a lab report, however, the materials and methods are. Here's a short section of the materials and methods section from the bone fracture article. This handout will use a lab exercise on seed germination as an example of how to write a methods section. In each.
An Experimental Design Is Divided Into Two Parts Known As Materials And Methods.
In a lab report, however, the materials and methods are. Here's a short section of the materials and methods section from the bone fracture article. In each section of this. This handout will use a lab exercise on seed germination as an example of how to write a methods section.






