Special Education Lesson Plans Examples - Here’s a rundown of how to plan/write lesson plans for special education. Are you looking for a template for special education lesson plans? Special education lesson planning is a crucial skill for teachers working with students who have diverse learning needs.
Are you looking for a template for special education lesson plans? Here’s a rundown of how to plan/write lesson plans for special education. Special education lesson planning is a crucial skill for teachers working with students who have diverse learning needs.
Here’s a rundown of how to plan/write lesson plans for special education. Special education lesson planning is a crucial skill for teachers working with students who have diverse learning needs. Are you looking for a template for special education lesson plans?
Creating Special Education Lesson Plans 5 Simple Examples
Are you looking for a template for special education lesson plans? Special education lesson planning is a crucial skill for teachers working with students who have diverse learning needs. Here’s a rundown of how to plan/write lesson plans for special education.
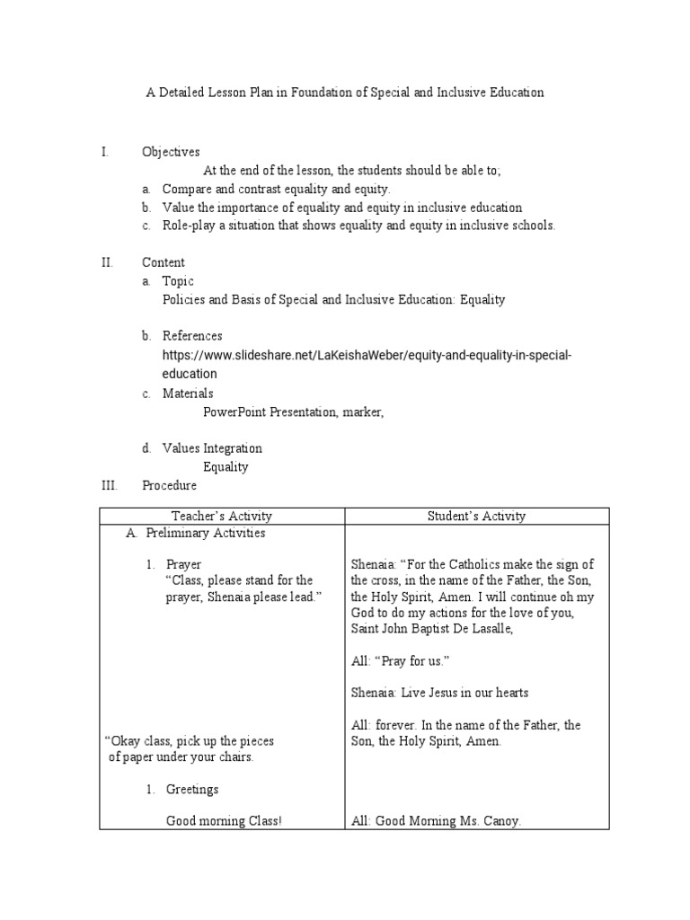
A Detailed Lesson Plan in Foundation of Special and Inclusive Education
Here’s a rundown of how to plan/write lesson plans for special education. Special education lesson planning is a crucial skill for teachers working with students who have diverse learning needs. Are you looking for a template for special education lesson plans?
Special Education Lesson Plan All Form Templates
Are you looking for a template for special education lesson plans? Here’s a rundown of how to plan/write lesson plans for special education. Special education lesson planning is a crucial skill for teachers working with students who have diverse learning needs.
Special Education Lesson Plan Templates Positively Learning
Here’s a rundown of how to plan/write lesson plans for special education. Special education lesson planning is a crucial skill for teachers working with students who have diverse learning needs. Are you looking for a template for special education lesson plans?
Lesson Plan Template For Special Education
Are you looking for a template for special education lesson plans? Here’s a rundown of how to plan/write lesson plans for special education. Special education lesson planning is a crucial skill for teachers working with students who have diverse learning needs.
Mastering Special Education Lesson Plans Your Ultimate Guide
Here’s a rundown of how to plan/write lesson plans for special education. Special education lesson planning is a crucial skill for teachers working with students who have diverse learning needs. Are you looking for a template for special education lesson plans?
Free Creative Special Education Lesson Plan template
Here’s a rundown of how to plan/write lesson plans for special education. Are you looking for a template for special education lesson plans? Special education lesson planning is a crucial skill for teachers working with students who have diverse learning needs.
Free Printable Special Education Lesson Plan Templates Printable
Here’s a rundown of how to plan/write lesson plans for special education. Are you looking for a template for special education lesson plans? Special education lesson planning is a crucial skill for teachers working with students who have diverse learning needs.
Special Education Lesson Plan Template Special Education Lesson Plans
Here’s a rundown of how to plan/write lesson plans for special education. Are you looking for a template for special education lesson plans? Special education lesson planning is a crucial skill for teachers working with students who have diverse learning needs.
The Power of Special Education Lesson Plan Template • Cultivating
Are you looking for a template for special education lesson plans? Here’s a rundown of how to plan/write lesson plans for special education. Special education lesson planning is a crucial skill for teachers working with students who have diverse learning needs.
Here’s A Rundown Of How To Plan/Write Lesson Plans For Special Education.
Are you looking for a template for special education lesson plans? Special education lesson planning is a crucial skill for teachers working with students who have diverse learning needs.








