Usajobs Resume Builder Format Pdf - How to build a resume to build a resume in usajobs: Make sure you're in the resumes. Since most government jobs will require you to submit a resume through the usajobs platform, careerproplus will help you create a federal. The following information is required when. Learn how to create a federal resume with the usajobs resume builder and follow the tips and sample provided by princeton career. Using the resume builder in usajobs helps ensure that you include this essential information.
Using the resume builder in usajobs helps ensure that you include this essential information. Since most government jobs will require you to submit a resume through the usajobs platform, careerproplus will help you create a federal. How to build a resume to build a resume in usajobs: Learn how to create a federal resume with the usajobs resume builder and follow the tips and sample provided by princeton career. The following information is required when. Make sure you're in the resumes.
How to build a resume to build a resume in usajobs: The following information is required when. Make sure you're in the resumes. Learn how to create a federal resume with the usajobs resume builder and follow the tips and sample provided by princeton career. Using the resume builder in usajobs helps ensure that you include this essential information. Since most government jobs will require you to submit a resume through the usajobs platform, careerproplus will help you create a federal.
Usajobs.gov Onboarding
Since most government jobs will require you to submit a resume through the usajobs platform, careerproplus will help you create a federal. How to build a resume to build a resume in usajobs: Using the resume builder in usajobs helps ensure that you include this essential information. The following information is required when. Make sure you're in the resumes.
USAJOBS Resume Builder 4192016 PDF
Using the resume builder in usajobs helps ensure that you include this essential information. How to build a resume to build a resume in usajobs: Make sure you're in the resumes. Since most government jobs will require you to submit a resume through the usajobs platform, careerproplus will help you create a federal. Learn how to create a federal resume.
USAJOBS Federal Resume Template Resume Template Federal Job Seeker
Using the resume builder in usajobs helps ensure that you include this essential information. The following information is required when. Make sure you're in the resumes. Learn how to create a federal resume with the usajobs resume builder and follow the tips and sample provided by princeton career. How to build a resume to build a resume in usajobs:
Federal Resume Templates Word, Resume Federal Government Format, Best
Using the resume builder in usajobs helps ensure that you include this essential information. The following information is required when. How to build a resume to build a resume in usajobs: Since most government jobs will require you to submit a resume through the usajobs platform, careerproplus will help you create a federal. Make sure you're in the resumes.
Usa Job Resume Samples
The following information is required when. Since most government jobs will require you to submit a resume through the usajobs platform, careerproplus will help you create a federal. How to build a resume to build a resume in usajobs: Make sure you're in the resumes. Using the resume builder in usajobs helps ensure that you include this essential information.
Usajobs Resume Example
Using the resume builder in usajobs helps ensure that you include this essential information. Since most government jobs will require you to submit a resume through the usajobs platform, careerproplus will help you create a federal. The following information is required when. Learn how to create a federal resume with the usajobs resume builder and follow the tips and sample.
Usajobs Resume
Since most government jobs will require you to submit a resume through the usajobs platform, careerproplus will help you create a federal. Using the resume builder in usajobs helps ensure that you include this essential information. How to build a resume to build a resume in usajobs: The following information is required when. Make sure you're in the resumes.
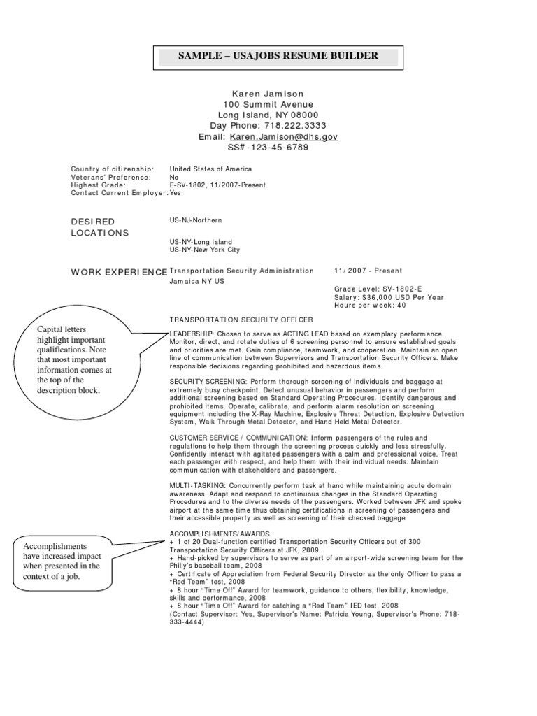
Sample Usajobs Resume Builder Karen Jamison PDF Transportation
Since most government jobs will require you to submit a resume through the usajobs platform, careerproplus will help you create a federal. The following information is required when. Learn how to create a federal resume with the usajobs resume builder and follow the tips and sample provided by princeton career. Make sure you're in the resumes. How to build a.
Federal Job Resume Sample Template Template Samples
Using the resume builder in usajobs helps ensure that you include this essential information. Make sure you're in the resumes. How to build a resume to build a resume in usajobs: Learn how to create a federal resume with the usajobs resume builder and follow the tips and sample provided by princeton career. The following information is required when.
USAJOBS Resumes PDF
Make sure you're in the resumes. Using the resume builder in usajobs helps ensure that you include this essential information. How to build a resume to build a resume in usajobs: The following information is required when. Since most government jobs will require you to submit a resume through the usajobs platform, careerproplus will help you create a federal.
Since Most Government Jobs Will Require You To Submit A Resume Through The Usajobs Platform, Careerproplus Will Help You Create A Federal.
Learn how to create a federal resume with the usajobs resume builder and follow the tips and sample provided by princeton career. How to build a resume to build a resume in usajobs: The following information is required when. Using the resume builder in usajobs helps ensure that you include this essential information.







